网站首页
政务公开
教育概况
机构设置
领导介绍
教育督导
人事任免
通知公告
通知公告
局发文件
教育要闻
教育要闻
校园动态
校园动态
网络安全
公众服务
政策解读
领导信箱
办事指南
网站调查
光辉历程
教育局荣誉
机关科室荣誉
基层学校荣誉
直属单位荣誉
专题栏目
政府网站年度报表
两学一做专题
营养餐专题
校园安全专题
优秀成果推广
当前位置:
首页
>
通知公告
>
通知公告
>
关于表彰2021年度全县教育考试先进工作者的决定
作者:
发布时间:
2021-12-24
阅读:
424次
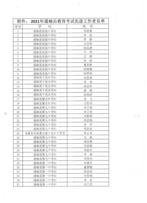
全县各相关学校:
1.jpeg
2.jpeg
3.jpeg
4.jpeg
通榆县招生委员会办公室
2021年12月24日
信息提供:梁雨发 领导审核:张娜 责任编辑:梁雨发
关于表彰2021年度全县教育考试先进工作者的决定.rar